|
nckernel
0.1
|
다양한 종류의 파일시스템을 지원하기 위한 인터페이스 계층을 정의하고 구현한다. VFS 는 폴더와 파일의 계층 구조를 Binary tree 형태로 표현하고, 유지 관리한다. 다양한 종류의 파일 시스템들은 주어진 sinfo 구조체에 맞추어 함수를 구현한다. VFS 는 On-demand 형태로 tree 를 구축해 나간다. 즉, 실제 특정 폴더에 접근을 할 때, 해당 폴더의 자식 node 를 생성한다. 자식 노드들을 채우는 것은 파일시스템에서 구현한다. More...
Data Structures | |
| struct | entry |
| ninfo 에 대한 context 정보를 정의 한다. More... | |
| struct | nctx |
| 파일에 접근하는 과정의 콘텍스트 정보를 유지/관리 한다. More... | |
| struct | ninfo |
| Node information 를 정의한다. More... | |
| struct | ninfo_dev |
| 장치 정보 More... | |
| struct | ninfo_ops |
| 해당 ninfo 에 대한 operation 함수 포인터 More... | |
| struct | sinfo |
Macros | |
| #define | MAJOR(id) ((id) >> 8) |
| Device 의 종류 More... | |
| #define | MINOR(id) ((id) & 0xFF) |
| Sub device 종류 More... | |
| #define | ROOT_NINFO 0 |
Enumerations | |
| enum | ntype { NINFO_TYPE_UNKNOWN, NINFO_TYPE_FOLDER, NINFO_TYPE_FILE, NINFO_TYPE_DEVICE } |
| Node type 을 정의한다. More... | |
Functions | |
| int | vfs_attach_storage (struct ninfo *node, struct sinfo *sb) |
| 저장 장치를 특정 노드와 연결시킨다. More... | |
| int | vfs_deatch_storage (struct ninfo *node) |
| 저장 장치를 특정 노드와의 연결을 끊는다. More... | |
| int | vfs_del_ninfo (struct ninfo *ninfo) |
| 주어진 노드를 삭제한다. 이 때, 자식 노드들이 있으면 모두 함께 삭제 More... | |
| struct sinfo * | vfs_get_last_sinfo (struct ninfo *node) |
| 주어진 노드에 가장 최근에 연결된 저장 장치 정보를 가져온다. More... | |
| struct ninfo * | vfs_get_ninfo (struct sinfo *sinfo, struct ninfo *node, const char *path) |
| 주어진 노드를 기준으로, 경로에 해당하는 노드 정보를 가져온다. More... | |
| struct ninfo * | vfs_get_ninfo_child (struct ninfo *node) |
| 자식 노드를 가져온다. More... | |
| struct ninfo * | vfs_get_ninfo_next_sibling (struct ninfo *node) |
| 다음 형제 노드를 가져온다. More... | |
| struct ninfo * | vfs_get_ninfo_parent (struct ninfo *node) |
| 부모 노드를 가져온다. 현재 노드가 root 노드와 같다면 NULL 반환 More... | |
| struct ninfo * | vfs_get_ninfo_prev_sibling (struct ninfo *node) |
| 이전 형제 노드를 가져온다. More... | |
| int | vfs_init (void) |
| VFS 를 초기화 한다. More... | |
| struct ninfo * | vfs_new_dev_ninfo (struct sinfo *si, struct ninfo *parent, const char *name, dev_t device, struct ninfo_ops *nops) |
| struct ninfo * | vfs_new_ninfo (struct sinfo *si, struct ninfo *parent, const char *name, void *info) |
| 주어진 경로에 해당하는 노드를 새로 만든다. More... | |
다양한 종류의 파일시스템을 지원하기 위한 인터페이스 계층을 정의하고 구현한다. VFS 는 폴더와 파일의 계층 구조를 Binary tree 형태로 표현하고, 유지 관리한다. 다양한 종류의 파일 시스템들은 주어진 sinfo 구조체에 맞추어 함수를 구현한다. VFS 는 On-demand 형태로 tree 를 구축해 나간다. 즉, 실제 특정 폴더에 접근을 할 때, 해당 폴더의 자식 node 를 생성한다. 자식 노드들을 채우는 것은 파일시스템에서 구현한다.
| #define MINOR | ( | id) | ((id) & 0xFF) |
Sub device 종류
Definition at line 48 of file vfs.h.
Referenced by fdc_open(), serial_close(), and serial_open().
| #define ROOT_NINFO 0 |
Definition at line 91 of file vfs.h.
Referenced by vfs_del_ninfo(), vfs_get_ninfo(), vfs_get_ninfo_child(), and vfs_get_ninfo_parent().
| enum ntype |
저장 장치를 특정 노드와 연결시킨다.
| [in] | node | |
| [in] | sb |
Definition at line 62 of file vfs.c.
References sinfo::head, and ninfo::sinfo.
| int vfs_deatch_storage | ( | struct ninfo * | node) |
저장 장치를 특정 노드와의 연결을 끊는다.
| [in] | node |
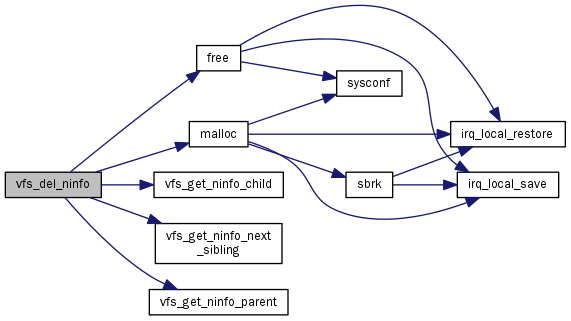
| int vfs_del_ninfo | ( | struct ninfo * | ninfo) |
주어진 노드를 삭제한다. 이 때, 자식 노드들이 있으면 모두 함께 삭제
| [in] | ninfo | 삭제할 노드 |
Definition at line 93 of file vfs.c.
References ninfo::child, EINVAL, ENOMEM, free(), sinfo::get_ninfo, ninfo::head_sibling, list_entry, list_for_each_safe, LIST_HEAD, malloc(), NULL, ROOT_NINFO, ninfo::si, vfs_get_ninfo_child(), vfs_get_ninfo_next_sibling(), and vfs_get_ninfo_parent().
Referenced by fat_load().


주어진 노드에 가장 최근에 연결된 저장 장치 정보를 가져온다.
| [in] | node | 연결될 저장 장치 정보를 가져올 노드 |
Definition at line 487 of file vfs.c.
References sinfo::head, list_entry, NINFO_TYPE_FOLDER, NULL, list_head::prev, ninfo::sinfo, and ninfo::type.
주어진 노드를 기준으로, 경로에 해당하는 노드 정보를 가져온다.
| [in] | sinfo | 저장 장치 정보 |
| [in] | node | 노드 정보 |
| [in] | path | 경로 |
Definition at line 206 of file vfs.c.
References sinfo::get_ninfo, list_entry, list_for_each, ninfo::name, NULL, ROOT_NINFO, ninfo::sibling, strncmp(), vfs_get_ninfo_child(), and vfs_get_ninfo_parent().
Referenced by fdc_init(), keyboard_init(), serial_init(), and video_init().


자식 노드를 가져온다.
| [in] | node | 부모노드 |
Definition at line 408 of file vfs.c.
References ninfo::child, sinfo::get_ninfo, ninfo::head_sibling, list_entry, list_head::next, NINFO_TYPE_FOLDER, NULL, sinfo::refresh_children, ROOT_NINFO, ninfo::si, and ninfo::type.
Referenced by vfs_del_ninfo(), vfs_get_ninfo(), vfs_new_dev_ninfo(), and vfs_new_ninfo().

다음 형제 노드를 가져온다.
| [in] | node | 현재 노드 |
Definition at line 459 of file vfs.c.
References ninfo::head_sibling, list_entry, list_head::next, NULL, and ninfo::sibling.
Referenced by vfs_del_ninfo().

부모 노드를 가져온다. 현재 노드가 root 노드와 같다면 NULL 반환
| [in] | node | 부모 노드를 가져올 노드 |
Definition at line 439 of file vfs.c.
References ninfo::child, sinfo::get_ninfo, list_entry, NULL, list_head::prev, ROOT_NINFO, and ninfo::si.
Referenced by vfs_del_ninfo(), and vfs_get_ninfo().

이전 형제 노드를 가져온다.
| [in] | node | 현재 노드 |
Definition at line 471 of file vfs.c.
References ninfo::head_sibling, list_entry, NULL, list_head::prev, and ninfo::sibling.
| int vfs_init | ( | void | ) |
VFS 를 초기화 한다.
Definition at line 21 of file vfs.c.
References ninfo::child, ninfo_ops::close, sinfo::del_ninfo, ninfo::deleted, sinfo::fill_ninfo, sinfo::get_ninfo, sinfo::head, ninfo::head_sibling, ninfo::id, ninfo_ops::ioctl, ninfo_ops::lseek, NINFO_TYPE_FOLDER, ninfo::nops, NULL, ninfo_ops::open, ninfo::priv, sinfo::priv, ninfo_ops::read, ninfo::refcnt, sinfo::refcnt, sinfo::refresh_children, ninfo::si, ninfo::sibling, ninfo::sinfo, ninfo::size, ninfo::type, and ninfo_ops::write.
| struct ninfo* vfs_new_dev_ninfo | ( | struct sinfo * | si, |
| struct ninfo * | parent, | ||
| const char * | name, | ||
| dev_t | device, | ||
| struct ninfo_ops * | nops | ||
| ) |
Definition at line 500 of file vfs.c.
References ninfo::child, ninfo::deleted, ninfo_dev::device, free(), ninfo::head_sibling, malloc(), ninfo::name, NINFO_TYPE_DEVICE, NINFO_TYPE_FOLDER, ninfo::nops, NULL, ninfo::priv, ninfo::refcnt, ninfo::si, ninfo::sibling, ninfo::sinfo, strdup(), ninfo::type, and vfs_get_ninfo_child().
Referenced by fdc_init(), keyboard_init(), serial_init(), and video_init().


| struct ninfo* vfs_new_ninfo | ( | struct sinfo * | si, |
| struct ninfo * | parent, | ||
| const char * | name, | ||
| void * | info | ||
| ) |
주어진 경로에 해당하는 노드를 새로 만든다.
| [in] | si | 저장 장치 정보 |
| [in] | parent | 부모 노드 |
| [in] | name | 노드의 이름 |
| [in] | info | 노드의 고유 정보 |
Definition at line 339 of file vfs.c.
References ninfo::child, ninfo::deleted, sinfo::fill_ninfo, free(), ninfo::head_sibling, malloc(), ninfo::name, NINFO_TYPE_FOLDER, NULL, ninfo::priv, ninfo::refcnt, ninfo::si, ninfo::sibling, ninfo::sinfo, strdup(), ninfo::type, and vfs_get_ninfo_child().
Referenced by fat_load(), and load_rootfs().


1.8.4